Extreme Classification by Optimizing Compositional Entropic Risk (SCENT and SOX)


Author: Xiyuan Wei, Linli Zhou, Tianbao Yang

Introduction

In this tutorial, you will learn how to train a linear model by optimizing Compositional Entropic Risk (CERM) using SCENT and SOX on a subset of TreeOfLife-10M, a biology dataset of 163K species. This version was implementated in PyTorch. It is recommended to run this notebook on a GPU-enabled environment, e.g., Google Colab.

Reference

If you find this tutorial helpful in your work, please cite our library paper and the following paper:

@inproceedings{wei2026geometry,
  title={A Geometry-Aware Efficient Algorithm for Compositional Entropic Risk Minimization},
  author={Wei, Xiyuan and Zhou, Linli and Wang, Bokun and Lin, Chih-Jen and Yang, Tianbao},
  journal={Forty-third International Conference on Machine Learning},
  year={2026}
}

Prerequisites

# Download pre-computed features
!gdown --folder 'https://drive.google.com/drive/folders/10cY2Azqz9Gnci-r4fXcGIpH_e5YaKXH_?usp=sharing' -O ./features
# Installing LibAUC
!pip install libauc
import os
import logging
import pathlib
import json
import sys
import random
import math

import numpy as np
import torch
import torch.nn as nn
from torch.utils.data import Dataset, DataLoader
import torch.nn.functional as F
from torch.optim.lr_scheduler import CosineAnnealingLR

from libauc.losses import EntLossClassification
from libauc.optimizers import SCENT

Helper Functions

Model Architecture

class LinearClassifier(nn.Module):
    """Linear classifier: maps feature vectors to logits for m classes.

    forward(x): expects shape (B, D) and returns logits (B, m)
    """

    def __init__(self, feature_dim: int, num_classes: int):
        super().__init__()
        self.feature_dim = feature_dim
        self.num_classes = num_classes
        self.fc = nn.Linear(feature_dim, num_classes, bias=False)

        nn.init.normal_(self.fc.weight, mean=0.0, std=0.01)

    def forward(self, x: torch.Tensor, labels: torch.Tensor, classes: torch.Tensor | str | None = None) -> torch.Tensor:
        """Compute logits for only the classes in `labels`.

        Args:
            x: tensor (B, D)
            labels: 1D LongTensor of class indices (B,)
            classes: sampled classes, or 'all' (meaning all classes), or None (meaning classes in labels)

        Returns:
            logits (B, K)
        """
        w_pos = self.fc.weight[labels]  # (B, D)

        mask = None
        if isinstance(classes, str):
            assert classes == "all"
            w_sampled = self.fc.weight
        elif isinstance(classes, torch.Tensor):
            w_sampled = self.fc.weight[classes]
        elif classes is None:
            unique_labels = torch.unique(labels)    # (K,)
            w_sampled = self.fc.weight[unique_labels]    # (K, D)
            mask = (labels.unsqueeze(1) == unique_labels.unsqueeze(0))    # (B, K)
        else:
            raise ValueError(f"Unknown classes type: {type(classes)}")
        logits = x @ w_sampled.T - torch.sum(torch.mul(x, w_pos), dim=1, keepdim=True)    # (B, K)
        if mask is not None:
            logits.masked_fill_(mask.to(logits.device), float("-inf"))
        return logits

Dataset of features

class FeaturesDataset(Dataset):
    """Dataset for precomputed features.

    Expects features_path (N, D) and labels_path (N,) where labels are ints 0..C-1.
    """

    def __init__(self, features_path: str, labels_path: str):
        self.features = torch.load(features_path)
        self.labels = torch.load(labels_path)
        assert self.features.shape[0] == self.labels.shape[0], "features/labels length mismatch"

    def __len__(self):
        return self.features.shape[0]

    def __getitem__(self, idx):
        x = self.features[idx]
        y = self.labels[idx]
        return x, y, idx

Training Helper Functions

def setup_logging(out_log_file=None):
    logging.root.setLevel(level=logging.INFO)
    loggers = [logging.getLogger(name) for name in logging.root.manager.loggerDict]
    for logger in loggers:
        logger.setLevel(level=logging.INFO)

    formatter = logging.Formatter('%(asctime)s | %(levelname)s | %(message)s', datefmt='%Y-%m-%d,%H:%M:%S')
    if out_log_file is not None:
        file_handler = logging.FileHandler(out_log_file)
        logging.root.addHandler(file_handler)
    for handler in logging.root.handlers:
        handler.setFormatter(formatter)


def build_dataloaders(root_data_dir, batch_size):
    dataloader_list = []
    for split, shuffle in zip(["train", "val", "test"], [True, False, False]):
        data_dir = os.path.join(root_data_dir, split)
        if not os.path.exists(data_dir):
            if split == "train" or split == "val":
                raise FileNotFoundError(f"Data directory {data_dir} does not exist.")
            else:
                dataloader_list.append(None)
                continue
        features = os.path.join(data_dir, "features.pt")
        labels = os.path.join(data_dir, "labels.pt")
        ds = FeaturesDataset(features, labels)
        dataloader = DataLoader(ds, batch_size=batch_size, shuffle=shuffle, num_workers=4)
        dataloader_list.append(dataloader)
    train_loader, val_loader, test_loader = dataloader_list
    return train_loader, val_loader, test_loader


def train_one_epoch(model, loader, optimizer, criterion, device):
    model.train()
    total_loss = 0.0
    total = 0
    for i, batch in enumerate(loader):
        feats, labels, indices = batch
        feats = feats.to(device)
        logits = model(feats, labels)
        loss_dict = criterion(logits, indices)
        loss = loss_dict["loss"]
        with torch.no_grad():
            model.eval()
            labels = labels.to(device, dtype=torch.long)
            cross_entropy_loss = F.cross_entropy(model.fc(feats), labels)
            loss_dict["cross_entropy_loss"] = cross_entropy_loss
            model.train()

        optimizer.zero_grad()
        loss.backward()
        optimizer.step()

        total_loss += cross_entropy_loss.item() * feats.size(0)
        total += feats.size(0)

        if i % 100 == 0:
            log_str = f"  Batch {i} / {len(loader)}:"
            for key, value in loss_dict.items():
                log_str += f" {key}={value.item():.6f}"
            logging.info(log_str)

    return total_loss / total


@torch.no_grad()
def evaluate(model, loader, device):
    model.eval()
    total_loss = 0.0
    correct = 0
    total = 0
    for i, batch in enumerate(loader):
        feats, labels, _ = batch
        feats = feats.to(device)
        labels = labels.to(device, dtype=torch.long)

        logits = model.fc(feats)
        loss = F.cross_entropy(logits, labels)
        total_loss += loss.item() * feats.size(0)
        preds = logits.argmax(dim=1)
        correct += (preds == labels).sum().item()
        total += feats.size(0)

        if i % 100 == 0:
            logging.info(f"  Batch {i} / {len(loader)}: loss={loss.item():.6f}")

    return total_loss / total, correct / total


def set_seed(seed):
    """Set random seed for reproducibility."""
    random.seed(seed)
    np.random.seed(seed)
    torch.manual_seed(seed)
    if torch.cuda.is_available():
        torch.cuda.manual_seed(seed)
        torch.cuda.manual_seed_all(seed)
    # Make cudnn deterministic
    torch.backends.cudnn.deterministic = True
    torch.backends.cudnn.benchmark = False
    logging.info(f"Set random seed to {seed}")

Universal Hyperparameters for SCENT and SOX

data_dir = "./features/treeoflife10m_subset"
root_out_dir = "./outputs/"

seed = 2026
device = "cuda"
feature_dim = 512
num_classes = 163002
data_size = 762654
save_frequency = 1

epochs = 20
batch_size = 128

setup_logging()

Training (SCENT)

name = "scent_treeoflife10m_subset"

alpha = 0.0     # the step size for nu in SCENT (in log scale, i.e., the real step size is exp(alpha))
lr = 0.002
momentum = 0.9
alpha_multiplier = 0.03

Creating Model and Optimizer

out_dir = pathlib.Path(root_out_dir) / name
os.makedirs(out_dir / "checkpoints", exist_ok=True)
out_log_file = out_dir / "out.log"

set_seed(seed)

train_loader, val_loader, test_loader = build_dataloaders(data_dir, batch_size)

model = LinearClassifier(feature_dim, num_classes).to(device)

optimizer = SCENT(model.parameters(), lr=lr, momentum=momentum)

lr_scheduler = CosineAnnealingLR(optimizer, T_max=epochs)

criterion = EntLossClassification(data_size=data_size, alpha=alpha,
                                  is_scent=True, alpha_multiplier=alpha_multiplier)

Training

best_val_acc = 0.0
best_test_acc = 0.0
best_test_loss = float("inf")
start_epoch = 0

for epoch in range(start_epoch + 1, epochs + 1):
    logging.info(f"Epoch {epoch}/{epochs}, learning_rate={lr_scheduler.get_last_lr()[0]:.6f}")
    if hasattr(criterion, "adjust_gamma"):
        criterion.adjust_gamma(epoch, epochs)
    cross_entropy_loss = train_one_epoch(model, train_loader, optimizer, criterion, device)
    lr_scheduler.step()

    logging.info("Evaluating on validation set")
    val_loss, val_acc = evaluate(model, val_loader, device)
    if val_acc > best_val_acc:
        logging.info("New best model found")
        best_val_acc = val_acc
        if test_loader is not None:
            logging.info("Evaluating on test set")
            best_test_loss, best_test_acc = evaluate(model, test_loader, device)
    logging.info(f"Epoch {epoch}: cross_entropy_loss={cross_entropy_loss:.6f} val_loss={val_loss:.6f} val_acc={val_acc:.6f}")
    logging.info(f"  Best val_acc={best_val_acc:.6f}")
    if test_loader is not None:
        logging.info(f"  Best test acc={best_test_acc:.6f} Best test loss={best_test_loss:.6f}")
    eval_results = {
        "epoch": epoch,
        "cross_entropy_loss": cross_entropy_loss,
        "val_loss": val_loss,
        "val_acc": val_acc,
        "best_val_acc": best_val_acc,
    }
    if test_loader is not None:
        eval_results.update({
            "best_test_acc": best_test_acc,
            "best_test_loss": best_test_loss,
        })
    with open(out_dir / f"eval_{name}.jsonl", "a") as f:
        f.write(json.dumps(eval_results) + "\n")

    if epoch % save_frequency == 0 or epoch == epochs:
        save_dict = {
            "model_state": model.state_dict(),
            "optimizer_state": optimizer.state_dict(),
            "epoch": epoch,
        }
        if hasattr(criterion, "nu"):
            save_dict["criterion_nu"] = criterion.nu.cpu()
        torch.save(save_dict, out_dir / "checkpoints" / f"epoch_{epoch}.pt")
        logging.info(f"Saved checkpoint for epoch {epoch}.")

Training (SOX)

name = "sox_treeoflife10m_subset"

lr = 0.001
gamma = 0.6
momentum = 0.9

Creating Model and Optimizer

out_dir = pathlib.Path(root_out_dir) / name
os.makedirs(out_dir / "checkpoints", exist_ok=True)
out_log_file = out_dir / "out.log"

set_seed(seed)

train_loader, val_loader, test_loader = build_dataloaders(data_dir, batch_size)

model = LinearClassifier(feature_dim, num_classes).to(device)

optimizer = SCENT(model.parameters(), lr=lr, momentum=momentum)

lr_scheduler = CosineAnnealingLR(optimizer, T_max=epochs)

criterion = EntLossClassification(data_size=data_size, gamma=gamma, is_scent=False)

Training

best_val_acc = 0.0
best_test_acc = 0.0
best_test_loss = float("inf")
start_epoch = 0

for epoch in range(start_epoch + 1, epochs + 1):
    logging.info(f"Epoch {epoch}/{epochs}, learning_rate={lr_scheduler.get_last_lr()[0]:.6f}")
    if hasattr(criterion, "adjust_gamma"):
        criterion.adjust_gamma(epoch, epochs)
    cross_entropy_loss = train_one_epoch(model, train_loader, optimizer, criterion, device)
    lr_scheduler.step()

    logging.info("Evaluating on validation set")
    val_loss, val_acc = evaluate(model, val_loader, device)
    if val_acc > best_val_acc:
        logging.info("New best model found")
        best_val_acc = val_acc
        if test_loader is not None:
            logging.info("Evaluating on test set")
            best_test_loss, best_test_acc = evaluate(model, test_loader, device)
    logging.info(f"Epoch {epoch}: cross_entropy_loss={cross_entropy_loss:.6f} val_loss={val_loss:.6f} val_acc={val_acc:.6f}")
    logging.info(f"  Best val_acc={best_val_acc:.6f}")
    if test_loader is not None:
        logging.info(f"  Best test acc={best_test_acc:.6f} Best test loss={best_test_loss:.6f}")
    eval_results = {
        "epoch": epoch,
        "cross_entropy_loss": cross_entropy_loss,
        "val_loss": val_loss,
        "val_acc": val_acc,
        "best_val_acc": best_val_acc,
    }
    if test_loader is not None:
        eval_results.update({
            "best_test_acc": best_test_acc,
            "best_test_loss": best_test_loss,
        })
    with open(out_dir / f"eval_{name}.jsonl", "a") as f:
        f.write(json.dumps(eval_results) + "\n")

    if epoch % save_frequency == 0 or epoch == epochs:
        save_dict = {
            "model_state": model.state_dict(),
            "optimizer_state": optimizer.state_dict(),
            "epoch": epoch,
        }
        if hasattr(criterion, "nu"):
            save_dict["criterion_nu"] = criterion.nu.cpu()
        torch.save(save_dict, out_dir / "checkpoints" / f"epoch_{epoch}.pt")
        logging.info(f"Saved checkpoint for epoch {epoch}.")

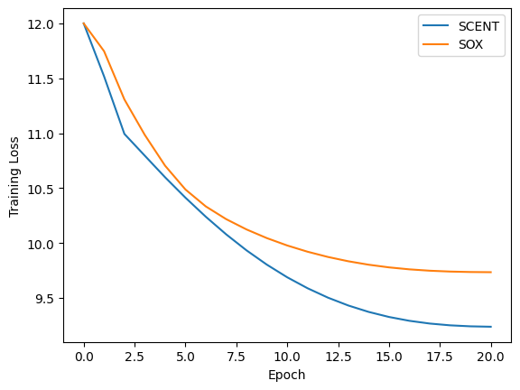
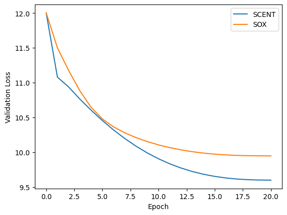
Results and Visualization

# plot
import json
import math
import matplotlib.pyplot as plt

for metric, name in zip(["cross_entropy_loss", "val_loss", "val_acc"], ["Training Loss", "Validation Loss", "Validation Accuracy"]):
    if "loss" in metric:
        results_scent = [-math.log(1.0 / num_classes)] + [0.0] * 20
        results_sox = [-math.log(1.0 / num_classes)] + [0.0] * 20
    else:
        results_scent = [1.0 / num_classes] + [0.0] * 20
        results_sox = [1.0 / num_classes] + [0.0] * 20
    with open("./outputs/scent_treeoflife10m_subset/eval_scent_treeoflife10m_subset.jsonl", "r") as f:
        for line in f:
            eval_results = json.loads(line)
            results_scent[eval_results["epoch"]] = eval_results[metric]
    with open("./outputs/sox_treeoflife10m_subset/eval_sox_treeoflife10m_subset.jsonl", "r") as f:
        for line in f:
            eval_results = json.loads(line)
            results_sox[eval_results["epoch"]] = eval_results[metric]

    fig, ax = plt.subplots()
    ax.plot(results_scent, label="SCENT")
    ax.plot(results_sox, label="SOX")
    ax.set_xlabel("Epoch")
    ax.set_ylabel(name)
    ax.legend()

plt.show()
../_images/SCENT_Extreme_Classification_27_0.png ../_images/SCENT_Extreme_Classification_27_1.png ../_images/SCENT_Extreme_Classification_27_2.png

Cross-Entropy loss on training and validation datasets

Method

Training Loss

Validation Loss

Validation Accuracy

SCENT

9.24

9.60

0.26

SOX

9.73

9.95

0.20